Kesan Beriman Kepada Malaikat / Beriman kepada malaikat merupakan salah satu rukun iman selain beriman kepada allah berikut adalah dasar beriman kepada malaikat yang terdapat dalam al qur'an surat al baqarah ayat 285 dan surat an nisa ayat 136 beserta teks hadits.

Kesan Beriman Kepada Malaikat / Beriman kepada malaikat merupakan salah satu rukun iman selain beriman kepada allah berikut adalah dasar beriman kepada malaikat yang terdapat dalam al qur'an surat al baqarah ayat 285 dan surat an nisa ayat 136 beserta teks hadits.. Hal ini merupakan konsekuensi logis karena malaikat merupakan salah satu. 2) sering mendoakan kesejahteraan orang lain. Dengan beriman kepada malaikat akan memberikan kesan perubahan yang menyeluruh merangkumi aspek perkataan, perbuatan, hati dan pemikiran. Beriman kepada malaikat allah swt merupakan rukun iman yang kedua. Menambah keimanan dan ketakwaan kepada allah swt.

Berzikir, bertasbih dan beristighfar kepada allah. Seorang muslim wajib beriman kepada malaikat. Ukhty sekalian tentu telah mengetahui bahwasanya yang menyampaikan wahyu dari allah kepada nabi muhammad shallallahu 'alaihi wa sallam adalah malaikat jibril. Kami dengar dan kami taat. 3 beriman dan berahlak kepada malaikat beriman kepada malaikat 1.

Dr Yazid Beriman Kpd Malaikat
Dr Yazid Beriman Kpd Malaikat from image.slidesharecdn.com
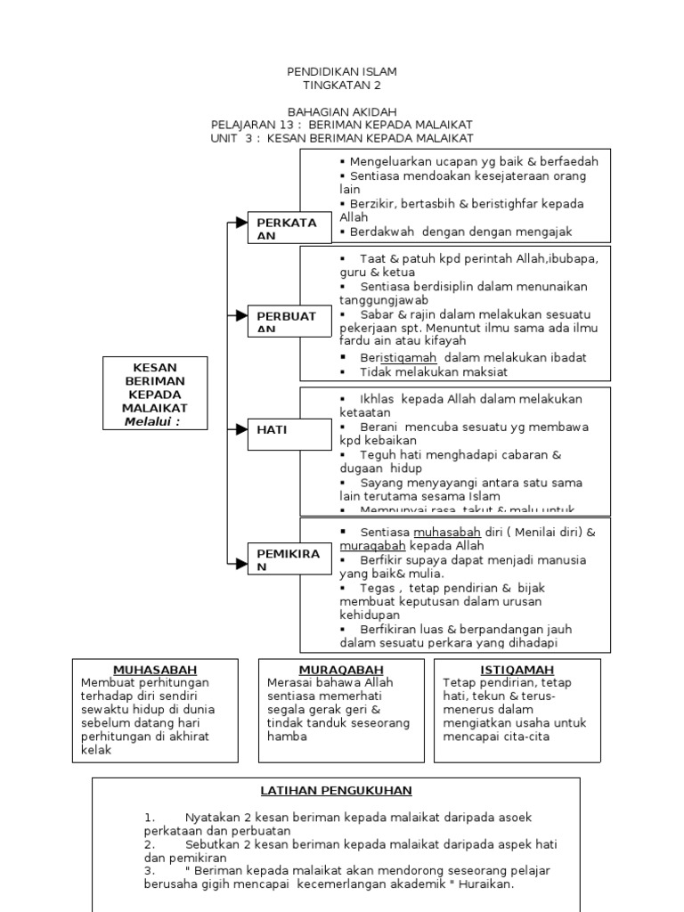
Berikut ini yuksinau.id paparkan informasi mengenai malaikat allah. Makalah berikut ini akan membahas pengertian iman kepada malaikat secara. Sering mendoakan kesejahteraan orang lain. Kata malaikat merupakan jamak dari kata arab malak (ملاك) yang bererti kekuatan. Malaikat merupakan makhluk allah yang sentiasa taat dalam melaksanakan semua perintah dan arahan allah swt. Perkataan • mengeluarkan ucapan yang baik dan berfaedah • mendoakan kesejahteraan orang lain • berzikir,bertasbih dan beristighfar kepada allah swt • berdakwah kepada orang lain dengan mengajak melakukan kebaikkan dan keburukan. Meyakini adanya malaikat allah swt hukumnya wajib bagi seorang mukmin. Apakah kamu beriman kepada malaikat?

Allah menciptakan malaikat dari cahaya, menciptakan jin dari nyala api dan menciptakan adam dari apa yang terlah disifatkan (dijelaskan) kepada kalian.

3 beriman dan berahlak kepada malaikat beriman kepada malaikat 1. Ukhty sekalian tentu telah mengetahui bahwasanya yang menyampaikan wahyu dari allah kepada nabi muhammad shallallahu 'alaihi wa sallam adalah malaikat jibril. Beriman kepada malaikat allah merupakan rukun iman yang kedua. Baik dan berfaedah mendoakan kesejahteraan orang lain berzikir,bertasbih dan beristighfar kepada allah swt berdakwah kepada orang lain dengan. Untuk mendengar selawat dari kumpulan unic dan in team. Kesan beriman kepada malaikat kesan beriman kepada malaikat perkataan. Dengan beriman kepada malaikat akan memberikan kesan perubahan yang menyeluruh merangkumi aspek perkataan, perbuatan, hati dan pemikiran. Perbezaan sifat malaikat dengan manusia. Malaikat allah swt, termasuk makhluk gaib artinya… a. Hal ini merupakan konsekuensi logis karena malaikat merupakan salah satu. Telah memerintahkan malaikat untuk mengatur peredaran matahari, bulan, bintang, mengatur jalannya angin, hujan, membagikan rezeki, mencatat amal. · mengajak orang lain melakukan kebaikan dan meninggalkan kemungkaran. Kesan beriman kepada malaikat :

· berzikir, bertasbih dan membaca al quran; Berzikir, bertasbih dan beristighfar kepada allah. Untuk mendengar selawat dari kumpulan unic dan in team. Beriman kepada malaikat merupakan salah satu rukun iman selain beriman kepada allah berikut adalah dasar beriman kepada malaikat yang terdapat dalam al qur'an surat al baqarah ayat 285 dan surat an nisa ayat 136 beserta teks hadits. Malaikat merupakan makhluk allah yang sentiasa taat dalam melaksanakan semua perintah dan arahan allah swt.

Dr Yazid Beriman Kpd Malaikat
Dr Yazid Beriman Kpd Malaikat from image.slidesharecdn.com
Meyakini adanya malaikat allah swt hukumnya wajib bagi seorang mukmin. Malaikat allah jumlahnya banyak, kita tidak dapat menghitungnya, namun yang wajib kita ketahui dengan beriman kepada malaikat allah, dan mengetahui tugas malaikat, diantaranya mencatat amal perbuatan kita, sehingga kita akan. Berikut ini yuksinau.id paparkan informasi mengenai malaikat allah. · mengajak orang lain melakukan kebaikan dan meninggalkan kemungkaran. Asalamulaikum kepada hamba allah s.w.t sekalian. Berikut, contoh soal lks pg dan essay pai (pendidikan agama islam), kelas x semester (dua) dan kunci jawabannya, untuk siswa sma/smk/ma/mak/sederajat. 26 maret 201826 maret 2018 tarbawiyahmeninggalkan komentar. Perkataan • mengeluarkan ucapan yang baik dan berfaedah • mendoakan kesejahteraan orang lain • berzikir,bertasbih dan beristighfar kepada allah swt • berdakwah kepada orang lain dengan mengajak melakukan kebaikkan dan keburukan.

Sifat malaikat dan perbedaannya dengan makhluk gaib lainnya.

Perkataan 1) mengeluarkan ucapan yang baik dan berfaedah. Apakah kamu beriman kepada malaikat? Malaikat allah jumlahnya banyak, kita tidak dapat menghitungnya, namun yang wajib kita ketahui dengan beriman kepada malaikat allah, dan mengetahui tugas malaikat, diantaranya mencatat amal perbuatan kita, sehingga kita akan. Kami dengar dan kami taat. Beriman kepada malaikat allah merupakan rukun iman yang kedua. Meyakini adanya malaikat allah swt hukumnya wajib bagi seorang mukmin. Baik dan berfaedah mendoakan kesejahteraan orang lain berzikir,bertasbih dan beristighfar kepada allah swt berdakwah kepada orang lain dengan. Telah memerintahkan malaikat untuk mengatur peredaran matahari, bulan, bintang, mengatur jalannya angin, hujan, membagikan rezeki, mencatat amal. Perkataan • mengeluarkan ucapan yang baik dan berfaedah • mendoakan kesejahteraan orang lain • berzikir,bertasbih dan beristighfar kepada allah swt • berdakwah kepada orang lain dengan mengajak melakukan kebaikkan dan keburukan. Hal ini merupakan konsekuensi logis karena malaikat merupakan salah satu. · mengajak orang lain melakukan kebaikan dan meninggalkan kemungkaran. Ukhty sekalian tentu telah mengetahui bahwasanya yang menyampaikan wahyu dari allah kepada nabi muhammad shallallahu 'alaihi wa sallam adalah malaikat jibril. Untuk mendengar selawat dari kumpulan unic dan in team.

Tidak hanya beriman saja, sebagai muslim kamu juga harus mengamalkannya. Dengan beriman kepada malaikat akan memberikan kesan perubahan yang menyeluruh merangkumi aspek perkataan, perbuatan, hati dan pemikiran. Beriman kepada malaikat merupakan salah satu dari enam rukun iman. Ternyata kita bisa tahu bahwa allah swt. Seorang muslim wajib beriman kepada malaikat.

Beriman Kepada Malaikat Tingkatan 2
Beriman Kepada Malaikat Tingkatan 2 from image.slidesharecdn.com
Kesan beriman kepada malaikat dari aspek perkataan, perbuatan, hati dan pemikiran seseorang: Beriman kepada malaikat allah swt merupakan rukun iman yang kedua. Iman kepada malaikat adalah iman kepada makhluk yang berloyalitas mutlak kepada allah (qs. · mengajak orang lain melakukan kebaikan dan meninggalkan kemungkaran. Ternyata kita bisa tahu bahwa allah swt. Allah menciptakan malaikat dari cahaya, menciptakan jin dari nyala api dan menciptakan adam dari apa yang terlah disifatkan (dijelaskan) kepada kalian. Ukhty sekalian tentu telah mengetahui bahwasanya yang menyampaikan wahyu dari allah kepada nabi muhammad shallallahu 'alaihi wa sallam adalah malaikat jibril. Baik dan berfaedah mendoakan kesejahteraan orang lain berzikir,bertasbih dan beristighfar kepada allah swt berdakwah kepada orang lain dengan.

· bercakap sesuatu perkara yang baik;

Malaikat allah jumlahnya banyak, kita tidak dapat menghitungnya, namun yang wajib kita ketahui dengan beriman kepada malaikat allah, dan mengetahui tugas malaikat, diantaranya mencatat amal perbuatan kita, sehingga kita akan. 2) sering mendoakan kesejahteraan orang lain. 26 maret 201826 maret 2018 tarbawiyahmeninggalkan komentar. Ukhty sekalian tentu telah mengetahui bahwasanya yang menyampaikan wahyu dari allah kepada nabi muhammad shallallahu 'alaihi wa sallam adalah malaikat jibril. Beriman kepada malaikat allah merupakan rukun iman yang kedua. Menambah keimanan dan ketakwaan kepada allah swt. Sering mendoakan kesejahteraan orang lain. Kesan beriman kepada malaikat : Untuk mendengar selawat dari kumpulan unic dan in team. Beriman kepada malaikat merupakan salah satu rukun iman selain beriman kepada allah berikut adalah dasar beriman kepada malaikat yang terdapat dalam al qur'an surat al baqarah ayat 285 dan surat an nisa ayat 136 beserta teks hadits. Hal ini merupakan konsekuensi logis karena malaikat merupakan salah satu. Beriman kepada malaikat merupakan salah satu dari enam rukun iman. · berzikir, bertasbih dan membaca al quran;

Related : Kesan Beriman Kepada Malaikat / Beriman kepada malaikat merupakan salah satu rukun iman selain beriman kepada allah berikut adalah dasar beriman kepada malaikat yang terdapat dalam al qur'an surat al baqarah ayat 285 dan surat an nisa ayat 136 beserta teks hadits..